青少体育
海南爱动体育  >>  青少体育  >>  体考  >>  正文

林诗栋等优秀运动员拟被保送海南大学

发布时间:2024-06-04 19:40:45  |   来源:综合体育总局科教司  |   点击:7697
  爱动体育讯 6月3日,体育总局科教司在其官网发布关于2024年优秀运动员本科保送拟推荐名单的公示。其中,林诗栋、蒯曼这对国乒混双搭档,以及海南帆船运动员周明晶、韦传亮,海南冲浪运动员王雪银、王艳艳、王成征、邓雪莹拟被保送至海南大学。

  此外,海南帆船运动员周明莹等人拟被保送至集美大学,海南籍篮球运动员钟贤睿拟被保送至河南大学,海南籍排球运动员张子云拟被保送至广州体育学院......

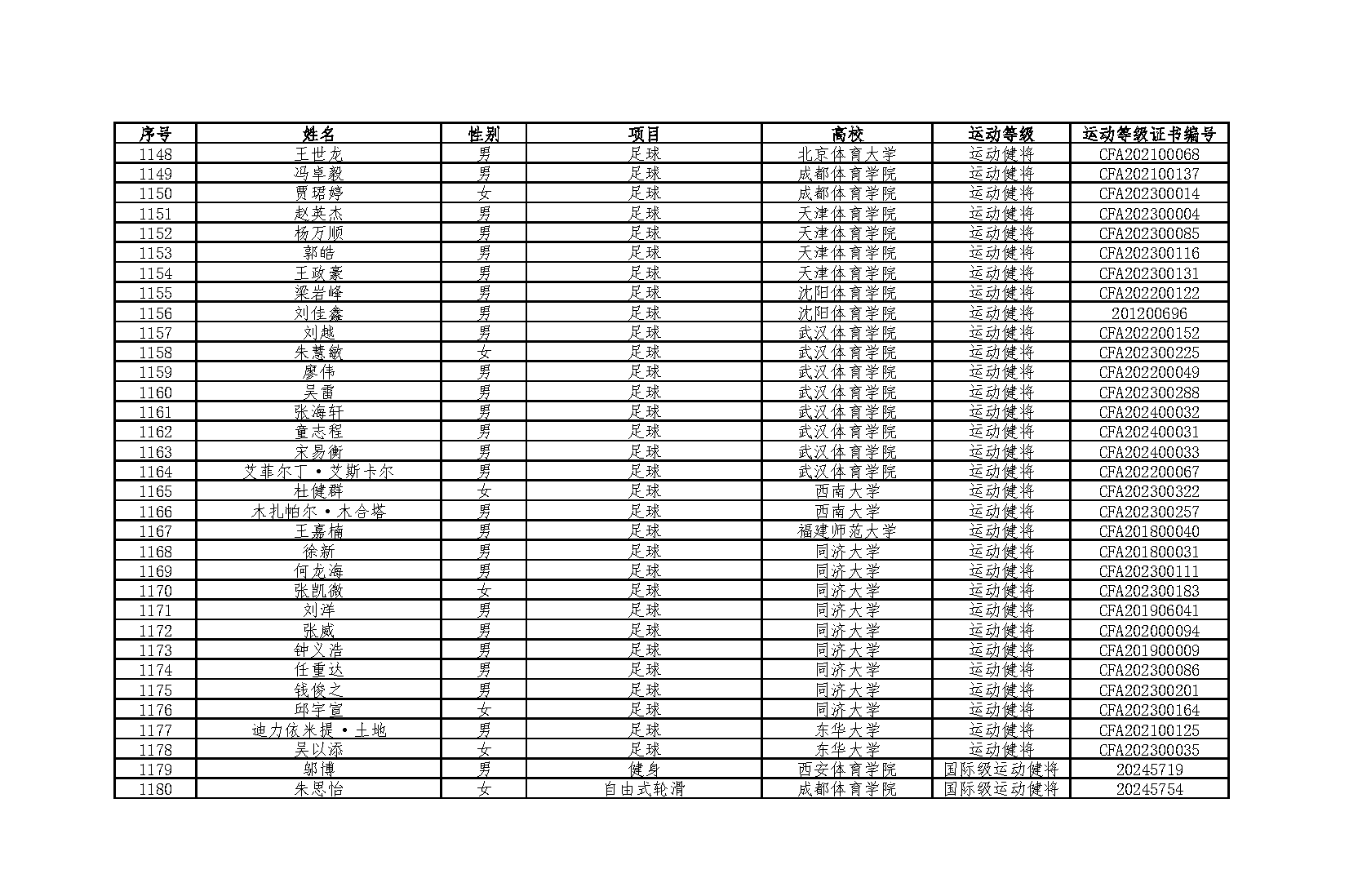
2024年优秀运动员本科保送拟推荐名单


















  (来源:综合体育总局科教司 编辑:汤青选)

网友评论
昵称:
内容:
验证码: 点击刷新验证码
 
版权声明:本文版权归属 海南爱动体育文化传播有限公司 所有
未经书面授权,严禁任何媒体、网站、认证微博、微信公众号等转载。
联系方式:0898-32870893  邮箱:2636191431@qq.com
增值电信业务经营许可证 琼ICP备20000269号